menu
Qamnty
Login
Register
My account
Edit my Profile
Private messages
My favorites
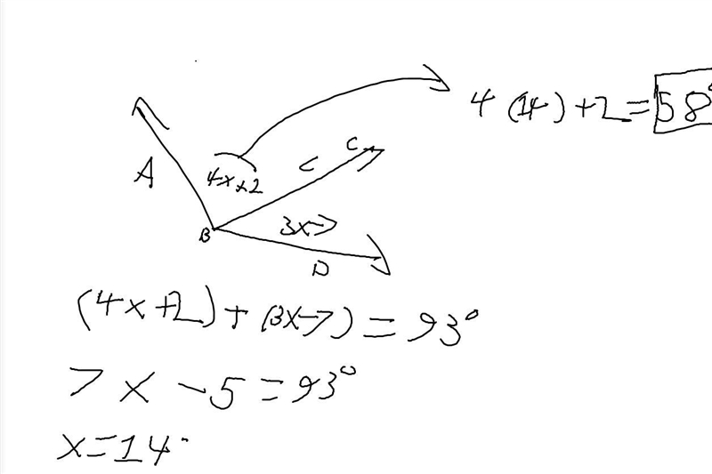
Given that m/ABD = 93°, what is 93, what is m/ABC A (4x+2) B (3x-7) D
Ask a Question
Questions
Unanswered
Tags
Ask a Question
Given that m/ABD = 93°, what is 93, what is m/ABC A (4x+2) B (3x-7) D
asked
Jul 26, 2024
154k
views
2
votes
Given that m/ABD = 93°, what is 93, what is m/ABC A (4x+2) B (3x-7) D
Mathematics
college
Kale
asked
by
Kale
8.1k
points
answer
comment
share this
share
0 Comments
Please
log in
or
register
to add a comment.
Please
log in
or
register
to answer this question.
1
Answer
4
votes
Answer:
58°
Explanation:
Ryanlahue
answered
Jul 31, 2024
by
Ryanlahue
8.0k
points
ask related question
comment
share this
0 Comments
Please
log in
or
register
to add a comment.
← Prev Question
Next Question →
Related questions
asked
Jan 22, 2023
132k
views
ATTEMPT 3 OF TRYING TO GET THIS ANSWERED PLEASE HELP In this diagram, x || y || z and m<9 = 93°. What is the measure of each angle? Drag and drop the correct measurements by the arrows to match each angle. m<2 ——> m<4——-> m<7——-> 87° 89° 91° 93 °
HayrolR
asked
Jan 22, 2023
by
HayrolR
7.5k
points
Mathematics
college
1
answer
16
votes
132k
views
asked
Jun 12, 2024
101k
views
Triangle M is similar to triangle N. Triangle M has two angles with measures of 32° and 93°. Which two angle measures could be included in triangle N?
Jakob Jingleheimer
asked
Jun 12, 2024
by
Jakob Jingleheimer
8.7k
points
Mathematics
high-school
1
answer
5
votes
101k
views
asked
Nov 24, 2024
5.4k
views
Lines l and m are parallel lines cut by transversal n. The m∠a = 87°. What is m∠h? A. 3° B. 87° C. 93° D. 13°
Tiffanie
asked
Nov 24, 2024
by
Tiffanie
8.0k
points
Mathematics
college
1
answer
0
votes
5.4k
views
Ask a Question
Welcome to Qamnty — a place to ask, share, and grow together. Join our community and get real answers from real people.
Categories
All categories
Mathematics
(3.7m)
History
(955k)
English
(903k)
Biology
(716k)
Chemistry
(440k)
Physics
(405k)
Social Studies
(564k)
Advanced Placement
(27.5k)
SAT
(19.1k)
Geography
(146k)
Health
(283k)
Arts
(107k)
Business
(468k)
Computers & Tech
(195k)
French
(33.9k)
German
(4.9k)
Spanish
(174k)
Medicine
(125k)
Law
(53.4k)
Engineering
(74.2k)
Other Questions
How do you can you solve this problem 37 + y = 87; y =
What is .725 as a fraction
How do you estimate of 4 5/8 X 1/3
Twitter
WhatsApp
Facebook
Reddit
LinkedIn
Email
Link Copied!
Copy
Search Qamnty