menu
Qamnty
Login
Register
My account
Edit my Profile
Private messages
My favorites
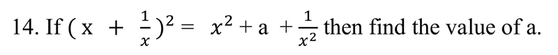
Pls answer this open the atached photo for question
Ask a Question
Questions
Unanswered
Tags
Ask a Question
Pls answer this open the atached photo for question
asked
Oct 11, 2024
233k
views
5
votes
Pls answer this open the atached photo for question
Mathematics
high-school
Matt A
asked
by
Matt A
8.4k
points
answer
comment
share this
share
0 Comments
Please
log in
or
register
to add a comment.
Please
log in
or
register
to answer this question.
1
Answer
2
votes
Answer:
Kaleemsagard
answered
Oct 17, 2024
by
Kaleemsagard
8.2k
points
ask related question
comment
share this
0 Comments
Please
log in
or
register
to add a comment.
← Prev Question
Next Question →
Related questions
asked
Jul 23, 2024
54.2k
views
One question highschool math Find the value of x to the nearest tenth. atached
Gopalraju
asked
Jul 23, 2024
by
Gopalraju
8.6k
points
Mathematics
college
2
answers
4
votes
54.2k
views
asked
Feb 8, 2021
166k
views
15 POINTS! IMAGE ATACHED
Josh Boothe
asked
Feb 8, 2021
by
Josh Boothe
7.2k
points
Mathematics
middle-school
2
answers
1
vote
166k
views
asked
Sep 3, 2021
105k
views
15 POINTSSS!!!! LOOK IN ATACHED IMAGE
Cauchi
asked
Sep 3, 2021
by
Cauchi
7.6k
points
Mathematics
middle-school
2
answers
5
votes
105k
views
Ask a Question
Welcome to Qamnty — a place to ask, share, and grow together. Join our community and get real answers from real people.
Categories
All categories
Mathematics
(3.7m)
History
(955k)
English
(903k)
Biology
(716k)
Chemistry
(440k)
Physics
(405k)
Social Studies
(564k)
Advanced Placement
(27.5k)
SAT
(19.1k)
Geography
(146k)
Health
(283k)
Arts
(107k)
Business
(468k)
Computers & Tech
(195k)
French
(33.9k)
German
(4.9k)
Spanish
(174k)
Medicine
(125k)
Law
(53.4k)
Engineering
(74.2k)
Other Questions
How do you can you solve this problem 37 + y = 87; y =
What is .725 as a fraction
i have a field 60m long and 110 wide going to be paved i ordered 660000000cm cubed of cement how thick must the cement be to cover field
Twitter
WhatsApp
Facebook
Reddit
LinkedIn
Email
Link Copied!
Copy
Search Qamnty