asked 83.6k views
4 votes
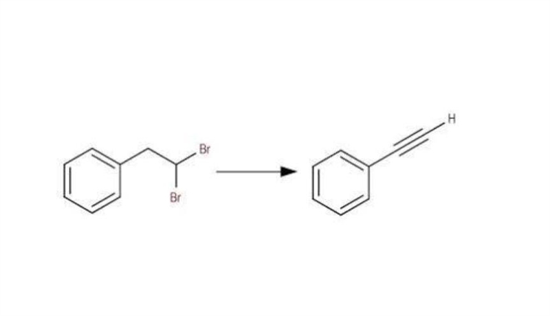
There are two additional bromine-based reagents that can undergo double dehydrohalogenation to produce phenylethyne. Draw both of these reagents.

asked
User Letoncse
by
7.7k points

1 Answer

4 votes

These are two additional bromine-based reagents that can undergo double dehydrohalogenation to produce phenylethyne attached.

How to find reagents?

1. 2,2-Dibromoethylbenzene:

This molecule has two bromine atoms attached to the carbon atoms adjacent to the phenyl ring, similar to 1,2-dibromoethane but with a phenyl group replacing two hydrogens. The double dehydrohalogenation reaction would follow a similar mechanism, with the bromine atoms being eliminated as HBr leaving groups.

2. N-Bromosuccinimide (NBS) with phenylethyne in the presence of a base:

This approach uses NBS, a common brominating agent, along with phenylethyne itself. In the presence of a base like triethylamine (TEA), NBS will selectively brominate the terminal carbon of the phenylethyne, forming a bromonium ion intermediate. This intermediate then loses a proton and a bromide ion, resulting in double dehydrohalogenation and formation of phenylethyne.

Reaction scheme:

C₆H₅-CH₂-CH₂-H + NBS + TEA → C₆H₅-CH₂-CH₂-Br + N-Br-TEA

C₆H₅-CH₂-CH₂-Br + TEA → C₆H₅-CH=CH-Br + HBr + TEA

C₆H₅-CH=CH-Br + TEA → C₆H₅-CH=CH + HBr + TEA

There are two additional bromine-based reagents that can undergo double dehydrohalogenation-example-1
There are two additional bromine-based reagents that can undergo double dehydrohalogenation-example-2
answered
User Johnjamesmiller
by
7.5k points