asked 230k views
3 votes
Help asap 50pts !!!!

Help asap 50pts !!!!-example-1

1 Answer

3 votes

Answer:

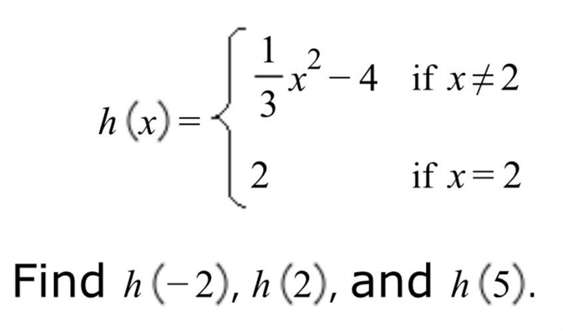
h (-2) = -2.6 (repeating)

h(2) =2

h(5) = 4.3 (repeating)

Explanation:

for h(-2)

=
(1)/(3) (-2^(2) )-4\\\\(1)/(3) *4-4\\\\(4)/(3) -4=-2.6

for h(2)

x = 2, so h(2) = 2

for h(5)


(1)/(3) (5^(2) )-4\\\\(1)/(3) *25-4\\\\(25)/(3) -4\\\\=4.3

answered
User Sagnalrac
by
7.5k points

No related questions found

Welcome to Qamnty — a place to ask, share, and grow together. Join our community and get real answers from real people.