menu
Qamnty
Login
Register
My account
Edit my Profile
Private messages
My favorites
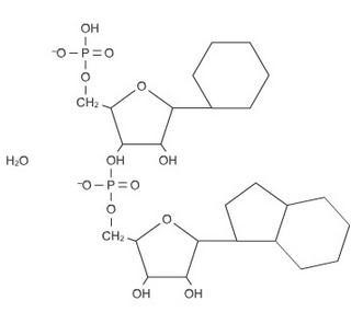
Which type of biochemical is shown in this illustration? carbohydrate nucleic acid lipid protein
Ask a Question
Questions
Unanswered
Tags
Ask a Question
Which type of biochemical is shown in this illustration? carbohydrate nucleic acid lipid protein
asked
Jul 1, 2024
193k
views
2
votes
Which type of biochemical is shown in this illustration?
carbohydrate
nucleic acid
lipid
protein
Chemistry
college
KRazzy R
asked
by
KRazzy R
8.0k
points
answer
comment
share this
share
0 Comments
Please
log in
or
register
to add a comment.
Please
log in
or
register
to answer this question.
1
Answer
2
votes
Answer:
C
Step-by-step explanation:
i did the test
Usama Abdulrehman
answered
Jul 7, 2024
by
Usama Abdulrehman
8.1k
points
ask related question
comment
share this
0 Comments
Please
log in
or
register
to add a comment.
← Prev Question
Next Question →
Related questions
asked
Sep 2, 2018
180k
views
Which type of biochemical does this diagram represent? lipid nucleic acid carbohydrate protein
Martin Vidner
asked
Sep 2, 2018
by
Martin Vidner
7.7k
points
Chemistry
high-school
2
answers
0
votes
180k
views
asked
Jul 24, 2019
107k
views
Help Which type of biochemical is the basic building block of genetic material Nucleic Acid Protein Carbohydrate Lipid
Zino
asked
Jul 24, 2019
by
Zino
8.7k
points
Chemistry
high-school
1
answer
3
votes
107k
views
asked
Dec 20, 2022
50.9k
views
Refer to the illustration above. What biomolecule is this? Group of answer choices nucleic acid lipid carbohydrate protein
Haff
asked
Dec 20, 2022
by
Haff
8.9k
points
Biology
high-school
1
answer
21
votes
50.9k
views
Ask a Question
Welcome to Qamnty — a place to ask, share, and grow together. Join our community and get real answers from real people.
Categories
All categories
Mathematics
(3.7m)
History
(955k)
English
(903k)
Biology
(716k)
Chemistry
(440k)
Physics
(405k)
Social Studies
(564k)
Advanced Placement
(27.5k)
SAT
(19.1k)
Geography
(146k)
Health
(283k)
Arts
(107k)
Business
(468k)
Computers & Tech
(195k)
French
(33.9k)
German
(4.9k)
Spanish
(174k)
Medicine
(125k)
Law
(53.4k)
Engineering
(74.2k)
Other Questions
Compare and contrast an electric generator and a battery??
Can someone complete the chemical reactions, or write which one do not occur, and provide tehir types? *c2h4+h2o *c3h8 + hcl *c2h2+br2 *c4h10+br2 *c3h6+br2
As an object’s temperature increases, the ____________________ at which it radiates energy increases.
Twitter
WhatsApp
Facebook
Reddit
LinkedIn
Email
Link Copied!
Copy
Search Qamnty