menu
Qamnty
Login
Register
My account
Edit my Profile
Private messages
My favorites
Solve (4-2x) (3+5x) using the foil method
Ask a Question
Questions
Unanswered
Tags
Ask a Question
Solve (4-2x) (3+5x) using the foil method
asked
May 6, 2024
211k
views
5
votes
Solve (4-2x) (3+5x) using the foil method
Mathematics
high-school
Sohlae
asked
by
Sohlae
8.2k
points
answer
comment
share this
share
0 Comments
Please
log in
or
register
to add a comment.
Please
log in
or
register
to answer this question.
2
Answers
5
votes
12 + 14x - 10x^2
.............................
Lxcky
answered
May 9, 2024
by
Lxcky
8.0k
points
ask related question
comment
share this
0 Comments
Please
log in
or
register
to add a comment.
2
votes
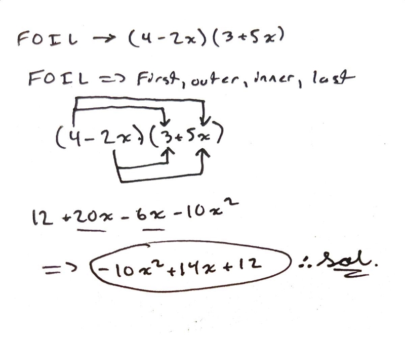
Refer to the attached image.
Arnaud Nelissen
answered
May 10, 2024
by
Arnaud Nelissen
7.8k
points
ask related question
comment
share this
0 Comments
Please
log in
or
register
to add a comment.
← Prev Question
Next Question →
No related questions found
Ask a Question
Welcome to Qamnty — a place to ask, share, and grow together. Join our community and get real answers from real people.
Categories
All categories
Mathematics
(3.7m)
History
(955k)
English
(903k)
Biology
(716k)
Chemistry
(440k)
Physics
(405k)
Social Studies
(564k)
Advanced Placement
(27.5k)
SAT
(19.1k)
Geography
(146k)
Health
(283k)
Arts
(107k)
Business
(468k)
Computers & Tech
(195k)
French
(33.9k)
German
(4.9k)
Spanish
(174k)
Medicine
(125k)
Law
(53.4k)
Engineering
(74.2k)
Other Questions
How do you can you solve this problem 37 + y = 87; y =
What is .725 as a fraction
How do you estimate of 4 5/8 X 1/3
Twitter
WhatsApp
Facebook
Reddit
LinkedIn
Email
Link Copied!
Copy
Search Qamnty