menu
Qamnty
Login
Register
My account
Edit my Profile
Private messages
My favorites
What is the solution the system of liner equations blow? 2x+y=-3 3x+2y=-7
Ask a Question
Questions
Unanswered
Tags
Ask a Question
What is the solution the system of liner equations blow? 2x+y=-3 3x+2y=-7
asked
Apr 16, 2024
203k
views
4
votes
What is the solution the system of liner equations blow? 2x+y=-3 3x+2y=-7
Mathematics
high-school
Mechanicalfish
asked
by
Mechanicalfish
9.1k
points
answer
comment
share this
share
0 Comments
Please
log in
or
register
to add a comment.
Please
log in
or
register
to answer this question.
1
Answer
2
votes
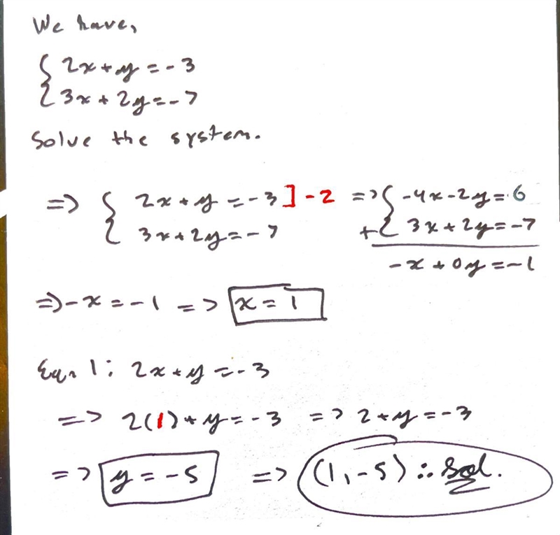
Refer to the attached image.
Mubeen Ali
answered
Apr 23, 2024
by
Mubeen Ali
8.0k
points
ask related question
comment
share this
0 Comments
Please
log in
or
register
to add a comment.
← Prev Question
Next Question →
No related questions found
Ask a Question
Welcome to Qamnty — a place to ask, share, and grow together. Join our community and get real answers from real people.
Categories
All categories
Mathematics
(3.7m)
History
(955k)
English
(903k)
Biology
(716k)
Chemistry
(440k)
Physics
(405k)
Social Studies
(564k)
Advanced Placement
(27.5k)
SAT
(19.1k)
Geography
(146k)
Health
(283k)
Arts
(107k)
Business
(468k)
Computers & Tech
(195k)
French
(33.9k)
German
(4.9k)
Spanish
(174k)
Medicine
(125k)
Law
(53.4k)
Engineering
(74.2k)
Other Questions
What is .725 as a fraction
How do you estimate of 4 5/8 X 1/3
A bathtub is being filled with water. After 3 minutes 4/5 of the tub is full. Assuming the rate is constant, how much longer will it take to fill the tub?
Twitter
WhatsApp
Facebook
Reddit
LinkedIn
Email
Link Copied!
Copy
Search Qamnty