menu
Qamnty
Login
Register
My account
Edit my Profile
Private messages
My favorites
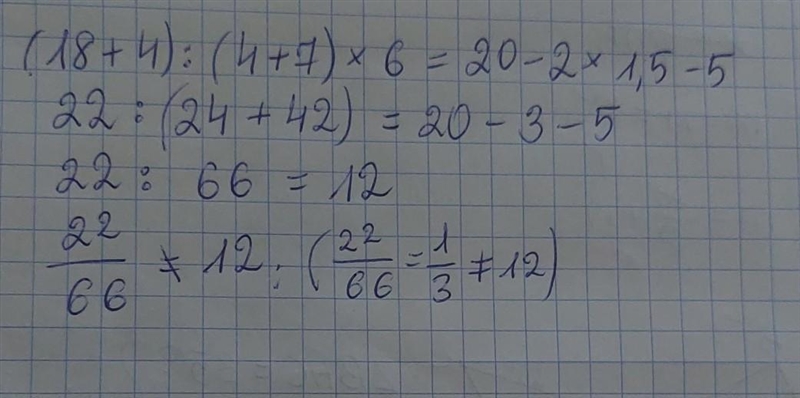
Is this equality true or false? Justify (18+4) : (4+7) x 6 = 20 - 2 x 1,5-5
Ask a Question
Questions
Unanswered
Tags
Ask a Question
Is this equality true or false? Justify (18+4) : (4+7) x 6 = 20 - 2 x 1,5-5
asked
Mar 11, 2024
7.3k
views
3
votes
Is this equality true or false? Justify
(18+4) : (4+7) x 6 = 20 - 2 x 1,5-5
Mathematics
high-school
Azucena
asked
by
Azucena
8.1k
points
answer
comment
share this
share
0 Comments
Please
log in
or
register
to add a comment.
Please
log in
or
register
to answer this question.
1
Answer
4
votes
Answer:
False
Explanation:
I added a photo of my solution
Pmcgrath
answered
Mar 16, 2024
by
Pmcgrath
7.9k
points
ask related question
comment
share this
0 Comments
Please
log in
or
register
to add a comment.
← Prev Question
Next Question →
No related questions found
Ask a Question
Welcome to Qamnty — a place to ask, share, and grow together. Join our community and get real answers from real people.
Categories
All categories
Mathematics
(3.7m)
History
(955k)
English
(903k)
Biology
(716k)
Chemistry
(440k)
Physics
(405k)
Social Studies
(564k)
Advanced Placement
(27.5k)
SAT
(19.1k)
Geography
(146k)
Health
(283k)
Arts
(107k)
Business
(468k)
Computers & Tech
(195k)
French
(33.9k)
German
(4.9k)
Spanish
(174k)
Medicine
(125k)
Law
(53.4k)
Engineering
(74.2k)
Other Questions
How do you can you solve this problem 37 + y = 87; y =
How do you estimate of 4 5/8 X 1/3
A bathtub is being filled with water. After 3 minutes 4/5 of the tub is full. Assuming the rate is constant, how much longer will it take to fill the tub?
Twitter
WhatsApp
Facebook
Reddit
LinkedIn
Email
Link Copied!
Copy
Search Qamnty