menu
Qamnty
Login
Register
My account
Edit my Profile
Private messages
My favorites
Can someone please help me with this math . I've just entered High School and I hate it already.
Ask a Question
Questions
Unanswered
Tags
Ask a Question
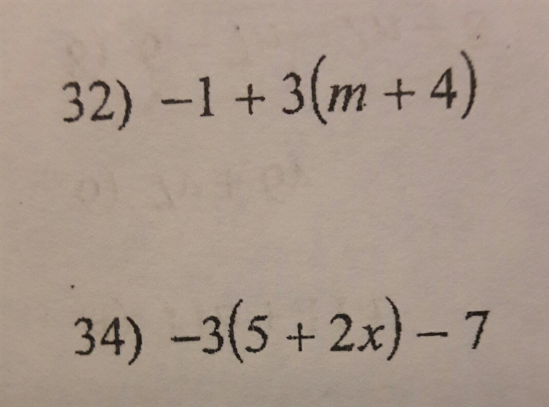
Can someone please help me with this math . I've just entered High School and I hate it already.
asked
Dec 24, 2018
174k
views
3
votes
Can someone please help me with this math . I've just entered High School and I hate it already.
Mathematics
middle-school
Rstudent
asked
by
Rstudent
7.9k
points
answer
comment
share this
share
0 Comments
Please
log in
or
register
to add a comment.
Please
log in
or
register
to answer this question.
1
Answer
0
votes
-1+3(m+4)
-1+3m+12
11+3m
Andrei Titov
answered
Dec 28, 2018
by
Andrei Titov
7.6k
points
ask related question
comment
share this
0 Comments
Please
log in
or
register
to add a comment.
← Prev Question
Next Question →
No related questions found
Ask a Question
Welcome to Qamnty — a place to ask, share, and grow together. Join our community and get real answers from real people.
Categories
All categories
Mathematics
(3.7m)
History
(955k)
English
(903k)
Biology
(716k)
Chemistry
(440k)
Physics
(405k)
Social Studies
(564k)
Advanced Placement
(27.5k)
SAT
(19.1k)
Geography
(146k)
Health
(283k)
Arts
(107k)
Business
(468k)
Computers & Tech
(195k)
French
(33.9k)
German
(4.9k)
Spanish
(174k)
Medicine
(125k)
Law
(53.4k)
Engineering
(74.2k)
Other Questions
What is .725 as a fraction
How do you estimate of 4 5/8 X 1/3
A bathtub is being filled with water. After 3 minutes 4/5 of the tub is full. Assuming the rate is constant, how much longer will it take to fill the tub?
Twitter
WhatsApp
Facebook
Reddit
LinkedIn
Email
Link Copied!
Copy
Search Qamnty