menu
Qamnty
Login
Register
My account
Edit my Profile
Private messages
My favorites
Please answer and explain number 9.
Ask a Question
Questions
Unanswered
Tags
Ask a Question
Please answer and explain number 9.
asked
Jul 28, 2019
72.4k
views
5
votes
Please answer and explain number 9.
Mathematics
middle-school
Glen Pierce
asked
by
Glen Pierce
7.9k
points
answer
comment
share this
share
0 Comments
Please
log in
or
register
to add a comment.
Please
log in
or
register
to answer this question.
1
Answer
4
votes
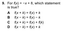
Example: If f(x) = -x + 8, then f(a) = -a + 8.
Thus, f(x+k) = -(x+k) + 8 = -x + 8 + k, or f(x) + k
(after rearrangement)
The first statement is true. Check out the other 3 statements. Are they true or not?
Jeffreynolte
answered
Aug 4, 2019
by
Jeffreynolte
8.4k
points
ask related question
comment
share this
0 Comments
Please
log in
or
register
to add a comment.
← Prev Question
Next Question →
No related questions found
Ask a Question
Welcome to Qamnty — a place to ask, share, and grow together. Join our community and get real answers from real people.
Categories
All categories
Mathematics
(3.7m)
History
(955k)
English
(903k)
Biology
(716k)
Chemistry
(440k)
Physics
(405k)
Social Studies
(564k)
Advanced Placement
(27.5k)
SAT
(19.1k)
Geography
(146k)
Health
(283k)
Arts
(107k)
Business
(468k)
Computers & Tech
(195k)
French
(33.9k)
German
(4.9k)
Spanish
(174k)
Medicine
(125k)
Law
(53.4k)
Engineering
(74.2k)
Other Questions
How do you can you solve this problem 37 + y = 87; y =
What is .725 as a fraction
How do you estimate of 4 5/8 X 1/3
Twitter
WhatsApp
Facebook
Reddit
LinkedIn
Email
Link Copied!
Copy
Search Qamnty