menu
Qamnty
Login
Register
My account
Edit my Profile
Private messages
My favorites
Find the midpoint of the segment with the following endpoints. left bracket, minus, 9, comma, minus, 10, right bracket, and , left bracket, 0, comma, minus, 7, right bracket (−9…
Ask a Question
Questions
Unanswered
Tags
Ask a Question
Find the midpoint of the segment with the following endpoints. left bracket, minus, 9, comma, minus, 10, right bracket, and , left bracket, 0, comma, minus, 7, right bracket (−9…
asked
Nov 14, 2024
71.6k
views
5
votes
Find the midpoint of the segment with the following endpoints. left bracket, minus, 9, comma, minus, 10, right bracket, and , left bracket, 0, comma, minus, 7, right bracket (−9,−10) and (0,−7) (−9,−10) and (0,−7)
Mathematics
high-school
Chars Davy
asked
by
Chars Davy
7.8k
points
answer
comment
share this
share
0 Comments
Please
log in
or
register
to add a comment.
Please
log in
or
register
to answer this question.
1
Answer
7
votes
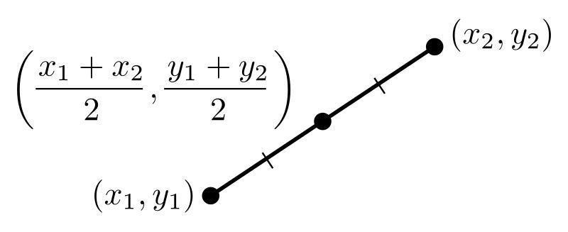
To find the midpoint of a segment with endpoints (x1, y1) and (x2, y2), we can use the midpoint formula:
Midpoint = ((x1 + x2)/2, (y1 + y2)/2)
In this case, the endpoints are (-9, -10) and (0, -7). Using the midpoint formula:
Midpoint = ((-9 + 0)/2, (-10 + (-7))/2)
Simplifying:
Midpoint = (-9/2, -17/2)
Therefore, the midpoint of the segment with endpoints (-9, -10) and (0, -7) is (-9/2, -17/2).
Jitendra Yadav
answered
Nov 18, 2024
by
Jitendra Yadav
8.2k
points
ask related question
comment
share this
0 Comments
Please
log in
or
register
to add a comment.
← Prev Question
Next Question →
Related questions
asked
Aug 15, 2024
12.5k
views
Find an equation for the perpendicular bisector of the line segment whose endpoints are left bracket, 3, comma, minus, 7, right bracket(3,−7) and left bracket, minus, 9, comma, minus, 1, right bracket(−9,
MadhavanRP
asked
Aug 15, 2024
by
MadhavanRP
8.9k
points
Mathematics
high-school
1
answer
2
votes
12.5k
views
asked
Aug 28, 2023
217k
views
What are the coordinates of the midpoint of the segment whose endpoints are C(−7, −10) and D(3, 9) ? (−2, −0.5) (−4, −1) (−5, −9.5) (−8.5, 3)
Tjdett
asked
Aug 28, 2023
by
Tjdett
8.1k
points
Mathematics
high-school
1
answer
2
votes
217k
views
asked
Apr 17, 2024
56.1k
views
What is the slope of the line that passes through the points left bracket, minus, 9, comma, minus, 7, right bracket(−9,−7) and left bracket, minus, 11, comma, minus, 6, right bracket(−11,−6)? Write your
Simeon Ikudabo
asked
Apr 17, 2024
by
Simeon Ikudabo
8.4k
points
Mathematics
high-school
1
answer
5
votes
56.1k
views
Ask a Question
Welcome to Qamnty — a place to ask, share, and grow together. Join our community and get real answers from real people.
Categories
All categories
Mathematics
(3.7m)
History
(955k)
English
(903k)
Biology
(716k)
Chemistry
(440k)
Physics
(405k)
Social Studies
(564k)
Advanced Placement
(27.5k)
SAT
(19.1k)
Geography
(146k)
Health
(283k)
Arts
(107k)
Business
(468k)
Computers & Tech
(195k)
French
(33.9k)
German
(4.9k)
Spanish
(174k)
Medicine
(125k)
Law
(53.4k)
Engineering
(74.2k)
Other Questions
How do you can you solve this problem 37 + y = 87; y =
What is .725 as a fraction
How do you estimate of 4 5/8 X 1/3
Twitter
WhatsApp
Facebook
Reddit
LinkedIn
Email
Link Copied!
Copy
Search Qamnty