menu
Qamnty
Login
Register
My account
Edit my Profile
Private messages
My favorites
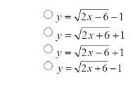
Which function is shown on the graph below?
Ask a Question
Questions
Unanswered
Tags
Ask a Question
Which function is shown on the graph below?
asked
Jul 16, 2024
188k
views
1
vote
Which function is shown on the graph below?
Mathematics
high-school
Amit Kulkarni
asked
by
Amit Kulkarni
8.0k
points
answer
comment
share this
share
0 Comments
Please
log in
or
register
to add a comment.
Please
log in
or
register
to answer this question.
1
Answer
2
votes
Answer: We will see that the function is f(x) = 0.559*ln(x)
Explanation:
Michel Floyd
answered
Jul 20, 2024
by
Michel Floyd
7.9k
points
ask related question
comment
share this
0 Comments
Please
log in
or
register
to add a comment.
← Prev Question
Next Question →
No related questions found
Ask a Question
Welcome to Qamnty — a place to ask, share, and grow together. Join our community and get real answers from real people.
Categories
All categories
Mathematics
(3.7m)
History
(955k)
English
(903k)
Biology
(716k)
Chemistry
(440k)
Physics
(405k)
Social Studies
(564k)
Advanced Placement
(27.5k)
SAT
(19.1k)
Geography
(146k)
Health
(283k)
Arts
(107k)
Business
(468k)
Computers & Tech
(195k)
French
(33.9k)
German
(4.9k)
Spanish
(174k)
Medicine
(125k)
Law
(53.4k)
Engineering
(74.2k)
Other Questions
How do you can you solve this problem 37 + y = 87; y =
What is .725 as a fraction
How do you estimate of 4 5/8 X 1/3
Twitter
WhatsApp
Facebook
Reddit
LinkedIn
Email
Link Copied!
Copy
Search Qamnty